带有时间延迟的捕食者-被捕食者相互作用模型

带有时间延迟的捕食者-被捕食者相互作用模型

Contributor(s)

Initial contribute: 2018-12-04

Authorship

:  
岳天祥编著
:  
yue@lreis.ac.cn
:  
View
Is authorship not correct? Feed back

Classification(s)

Application-focused categoriesNatural-perspectiveLand regions

Detailed Description

Chinese {{currentDetailLanguage}} Chinese

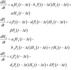
带有时间延迟的捕食者-被捕食者相互作用模型

 

 

 

式中,H 是被捕食者的数量;P 捕食者的数量;ac 分别是

被捕食者出生率和捕食者死亡率;b 是捕食者攻击率;d 是被捕

食者转化成捕食者的效率;是时间延迟。这个系统是不稳定

的。但把这个系统分成两部分就稳定了,分别用下标12表示,

并且加上表示个体从一个子系统到另一个子系统的随机运动的项:


 

式中,  是系数。

参考文献

Murdoch W W: 多样性、复杂性、稳定性和害虫控制。Joumal

of AppliedEcology1975,12

模型元数据

{{ModelMetaData.mp.modelName.modelName}} {{tag}} 系列名:{{ModelMetaData.mp.modelVersion.seriesName}} 编号:{{ModelMetaData.mp.modelVersion.numbering}} 目的:{{ item.label }} 修改内容:{{ModelMetaData.mp.modelVersion.changeContent}} {{tag}} {{ModelMetaData.mp.occupySpace}}

The above is part of the information. You can click here to see full information.

There is no Model Preparation about this model. You can click to add overview.

点击 查看基本信息.

{{tag}} {{tag}} {{ item.label }} {{tag}} {{tag}}

The above is part of the information. You can click here to see full information.

There is no Pre-integration Evaluation about this model. You can click to add overview.

点击 查看设计理念.

类型: {{ item.label }}

{{ModelMetaData.mo.couplingMode}}

There is no Model Orchestration about this model. You can click to add overview.

点击 查看模型架构.

{{tag}}

There is no Data Interoperability about this model. You can click to add overview.

点击 查看模型数据.

{{ModelMetaData.mdt.runTime}}
示例描述:{{item2.desc}} 名称: {{item2.name}} 类型: {{ item.label }} 值: {{item2.value}}
{{ModelMetaData.mdt.instruction}}

There is no Test about this model. You can click to add overview.

点击 查看运行测试.

{{htmlJSON.HowtoCite}}

《资源环境数学模型手册》 (2018). 带有时间延迟的捕食者-被捕食者相互作用模型, Model Item, OpenGMS, https://geomodeling.njnu.edu.cn/modelItem/30a72652-f0b4-4dcd-b62c-050d7a4a0367
{{htmlJSON.Copy}}

History

Last modifier
YY
Last modify time
2020-11-03
Modify times
View History

Contributor(s)

Initial contribute : 2018-12-04

{{htmlJSON.CoContributor}}

Authorship

:  
岳天祥编著
:  
yue@lreis.ac.cn
:  
View
Is authorship not correct? Feed back

History

Last modifier
YY
Last modify time
2020-11-03
Modify times
View History

QR Code

×

{{curRelation.overview}}
{{curRelation.author.join('; ')}}
{{curRelation.journal}}









{{htmlJSON.RelatedItems}}

{{htmlJSON.LinkResourceFromRepositoryOrCreate}}{{htmlJSON.create}}.

Drop the file here, orclick to upload.
Select From My Space
+ add

{{htmlJSON.authorshipSubmitted}}

Cancel Submit
{{htmlJSON.Cancel}} {{htmlJSON.Submit}}
{{htmlJSON.Localizations}} + {{htmlJSON.Add}}
{{ item.label }} {{ item.value }}
{{htmlJSON.ModelName}}:
{{htmlJSON.Cancel}} {{htmlJSON.Submit}}
名称 别名 {{tag}} +
系列名 版本号 目的 修改内容 创建/修改日期 作者
摘要 详细描述
{{tag}} + 添加关键字
* 时间参考系
* 空间参考系类型 * 空间参考系名称

起始日期 终止日期 进展 开发者
* 是否开源 * 访问方式 * 使用方式 开源协议 * 传输方式 * 获取地址 * 发布日期 * 发布者



编号 目的 修改内容 创建/修改日期 作者





时间分辨率 时间尺度 时间步长 时间范围 空间维度 格网类型 空间分辨率 空间尺度 空间范围
{{tag}} +
* 类型
图例


* 名称 * 描述
示例描述 * 名称 * 类型 * 值/链接 上传


{{htmlJSON.Cancel}} {{htmlJSON.Submit}}
Title Author Date Journal Volume(Issue) Pages Links Doi Operation
{{htmlJSON.Cancel}} {{htmlJSON.Submit}}
{{htmlJSON.Add}} {{htmlJSON.Cancel}}

{{articleUploading.title}}

Authors:  {{articleUploading.authors[0]}}, {{articleUploading.authors[1]}}, {{articleUploading.authors[2]}}, et al.

Journal:   {{articleUploading.journal}}

Date:   {{articleUploading.date}}

Page range:   {{articleUploading.pageRange}}

Link:   {{articleUploading.link}}

DOI:   {{articleUploading.doi}}

Yes, this is it Cancel

The article {{articleUploading.title}} has been uploaded yet.

OK
{{htmlJSON.Cancel}} {{htmlJSON.Confirm}}
mXLUljGKdJA6